Ph. D. Kawamura's Web Site
訪問研究員や非常勤講師をやっている中の人のHPです。
Profile
Research
Achievement
Work
Hobby
Life Log
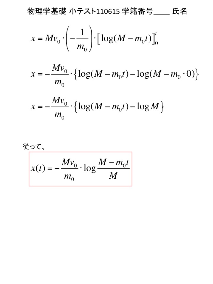
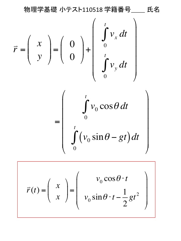
2011年度 物理学基礎 小テスト解答例(仮)
授業で行った小テストの解答です。 これをレポートの参考にして下さい。
とは言え、あくまでも参考程度にして下さい。
トップページへ戻る
ページのトップへ戻る