Ph. D. Kawamura's Web Site
訪問研究員や非常勤講師をやっている中の人のHPです。
Profile
Research
Achievement
Work
Hobby
Life Log
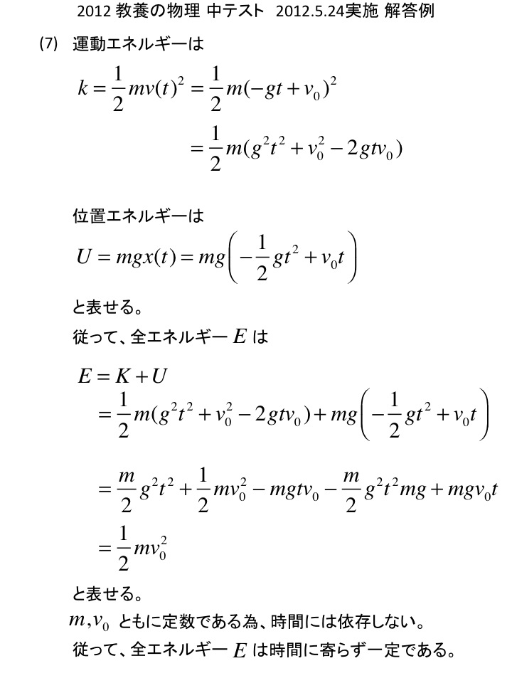
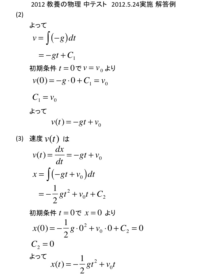
2012年 教養の物理中テスト ー力学ー 解答例
トップページへ戻る
ページのトップへ戻る