Ph. D. Kawamura's Web Site
訪問研究員や非常勤講師をやっている中の人のHPです。
Profile
Research
Achievement
Work
Hobby
Life Log
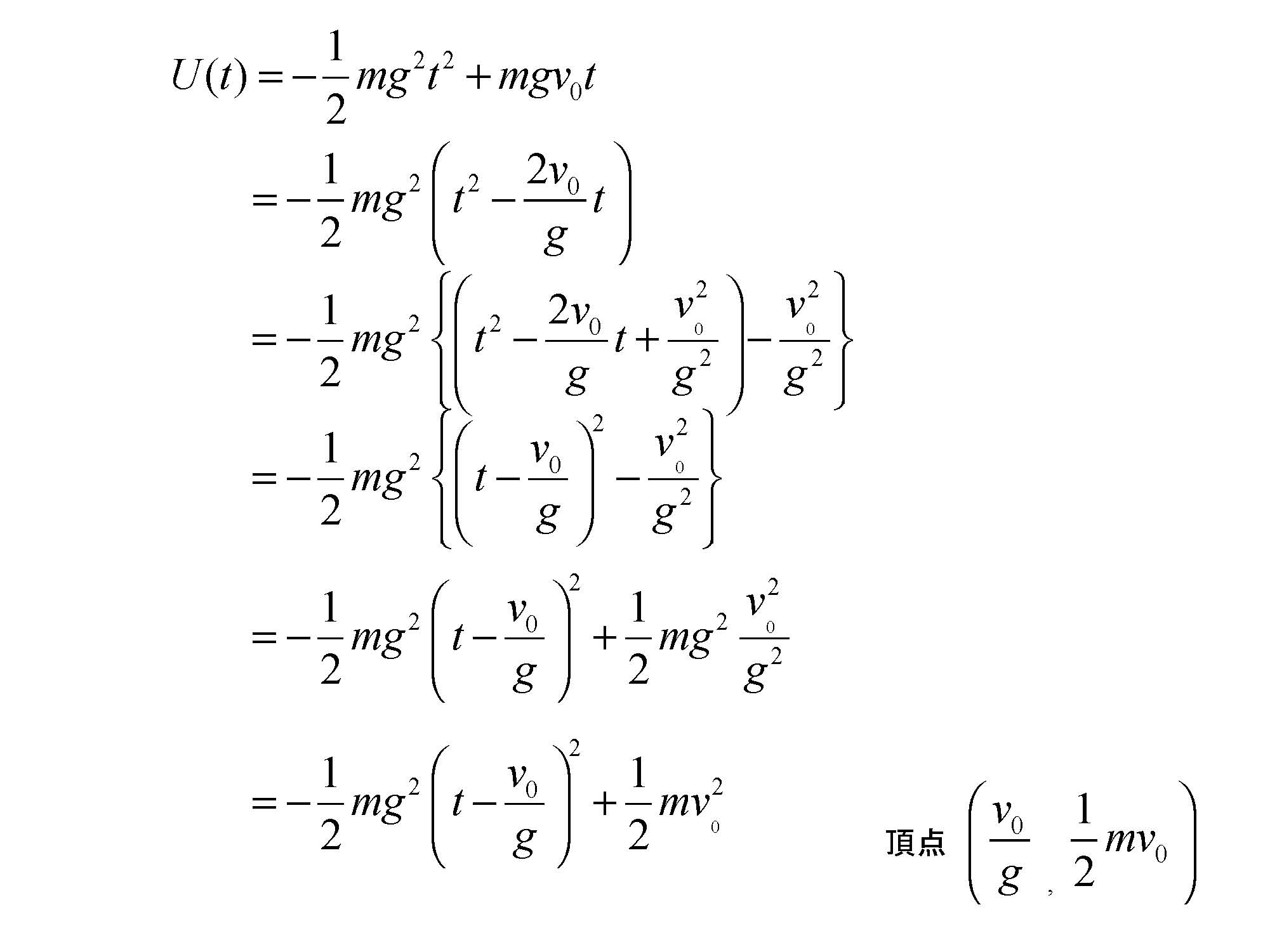
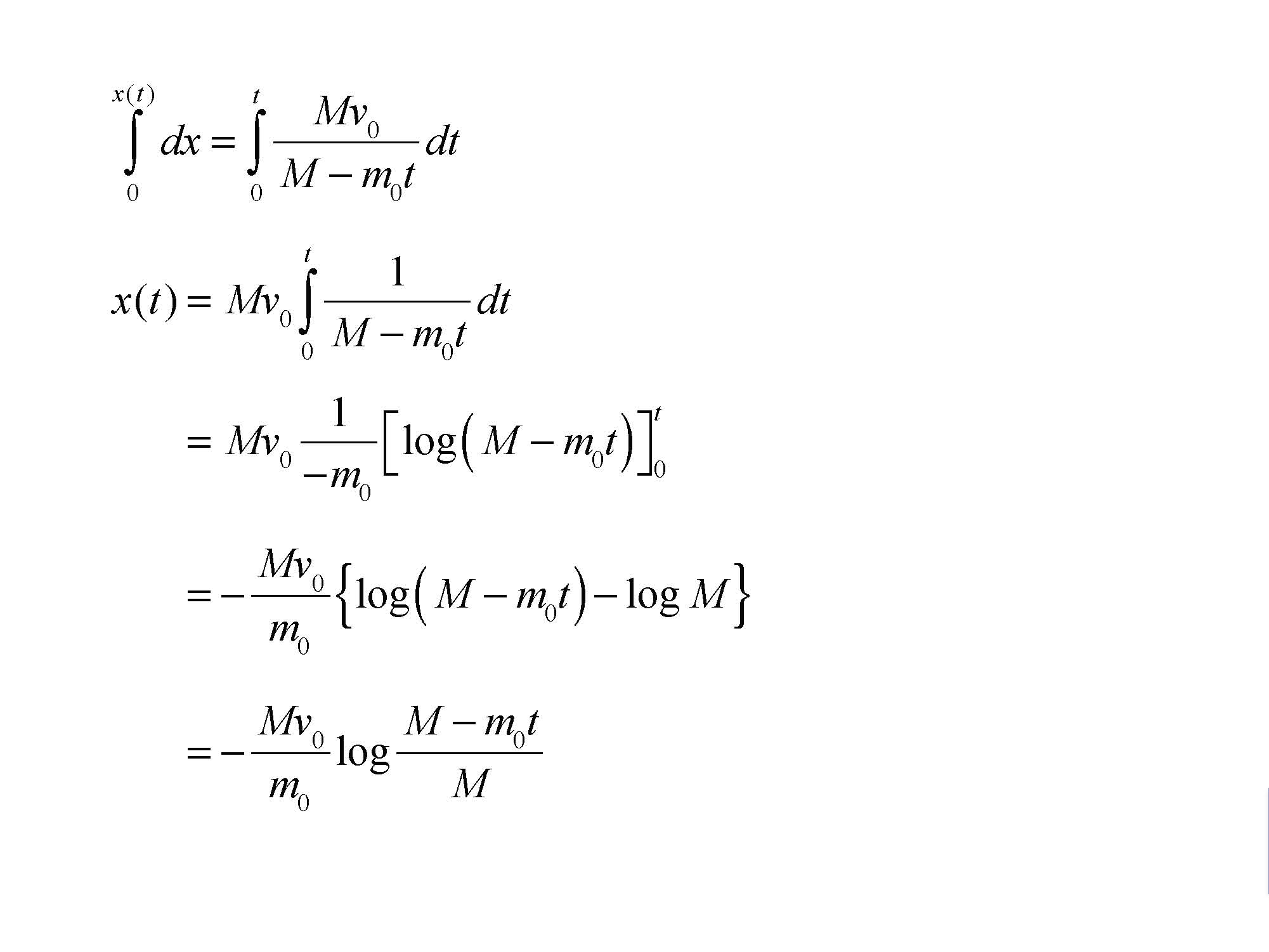
2013年 教養の物理 補充授業プリント
授業プリントの空欄が埋まっった状態になっています。
各自確認をしてテストに備えて下さい。
PDF版はこちら
2013年 教養の物理 補充授業プリント
トップページへ戻る
ページのトップへ戻る